By Cocer Peptides
24 days ago
ALL ARTICLES AND PRODUCT INFORMATION PROVIDED ON THIS WEBSITE ARE SOLELY FOR INFORMATION DISSEMINATION AND EDUCATIONAL PURPOSES.
The products provided on this website are intended exclusively for in vitro research. In vitro research (Latin: *in glass*, meaning in glassware) is conducted outside the human body. These products are not pharmaceuticals, have not been approved by the U.S. Food and Drug Administration (FDA), and must not be used to prevent, treat, or cure any medical condition, disease, or ailment. It is strictly prohibited by law to introduce these products into the human or animal body in any form.
1. Overview of CJC-1295
CJC-1295, as a synthetic growth hormone analog, aids in weight loss, muscle enhancement, skin rejuvenation, sleep improvement, and wound healing. Ipamorelin is a synthetic pentapeptide belonging to the class of growth hormone-releasing peptides (secretagogues). It stimulates the release of growth hormone and influences various physiological processes, including accelerating gastric emptying, improving postoperative intestinal obstruction symptoms, stimulating insulin secretion, and counteracting the catabolic effects of glucocorticoids on skeletal muscle and bone. Studying the synergistic effects of these two compounds could lead to new breakthroughs in health, sports medicine, and related disease treatments.
CJC-1295 Mechanism of Action
CJC-1295 primarily exerts its effects by interacting with the growth hormone-releasing hormone receptor (GHRHR). It mimics the function of growth hormone-releasing hormone (GHRH), prompting the anterior pituitary gland to release growth hormone (GH). Compared to natural GHRH, CJC-1295 has a longer half-life, enabling it to sustainably stimulate growth hormone secretion. This sustained stimulation helps maintain relatively stable growth hormone levels in the body, influencing a series of physiological processes dependent on growth hormone.
CJC-1295 Effects
Promoting fat metabolism: Growth hormone plays a key role in fat metabolism. CJC-1295 stimulates the release of growth hormone, enhancing lipolysis within fat cells, which breaks down fat into fatty acids and glycerol. These breakdown products are released into the bloodstream and utilized by other tissues and organs as an energy source, leading to weight loss and reduced body fat.
Enhances muscle strength and mass: Growth hormone significantly influences muscle growth and repair. CJC-1295 promotes growth hormone secretion, thereby stimulating the proliferation and differentiation of satellite cells—stem cells in skeletal muscle that play a critical role in muscle repair and growth. Growth hormone also increases amino acid uptake and protein synthesis while reducing protein breakdown, thereby helping to increase muscle mass and improve muscle strength.
Improving skin condition: Growth hormone participates in skin metabolism processes. After stimulating growth hormone secretion, CJC-1295 promotes the proliferation of fibroblasts and collagen synthesis. Fibroblasts are the primary cell type in skin responsible for producing collagen and other extracellular matrix components. Increased collagen synthesis improves skin elasticity and firmness, reduces wrinkle formation, and makes the skin appear younger.
Promoting wound healing: Growth hormone plays an active role in tissue repair. CJC-1295 accelerates cell proliferation and migration in damaged tissues by promoting growth hormone release, facilitates angiogenesis, provides more nutrients and oxygen to damaged tissues, and accelerates the repair of various injuries such as wound healing and fracture healing.
CJC-1295 Applications
Sports and fitness: Athletes and fitness enthusiasts often use CJC-1295 to enhance training, increase muscle strength, reduce body fat, and improve athletic performance and body composition.
Beauty and anti-aging: Due to its skin-rejuvenating effects, CJC-1295 can be used to improve skin wrinkles, sagging, and other aging-related issues.
Medical Research Field: In medical research, CJC-1295 serves as a tool to study growth hormone-related physiological mechanisms, helping researchers better understand the role of growth hormone in human physiological and pathological processes, and providing a theoretical foundation for developing new treatment methods and drugs.
2. Ipamorelin Mechanism of Action
Improving Mitochondrial Energy Metabolism
Enhancing ADP Sensitivity: During aging, mitochondrial sensitivity to ADP decreases, impairing ATP synthesis efficiency. Studies indicate that SS-31 can directly bind to the mitochondrial ADP transporter ANT, increasing ANT's uptake of ADP, thereby enhancing mitochondrial sensitivity to ADP. In aged muscle mitochondria, SS-31 treatment increased ADP uptake via ANT, thereby enhancing mitochondrial respiration under ADP stimulation, increasing ATP production, and improving energy metabolism in aged muscle mitochondria.
Regulation of mitochondrial respiratory chain complexes: Mitochondrial respiratory chain complexes are key components of mitochondrial energy production. During aging, the activity of respiratory chain complexes often decreases. SS-31 may maintain or enhance the activity of respiratory chain complexes by stabilizing their structural integrity or regulating the expression of related proteins. Previous studies have observed that in aging-related mitochondrial dysfunction models, the activity of respiratory chain complexes is restored after SS-31 treatment, suggesting its positive regulatory effect on the mitochondrial respiratory chain.
Figure 1 Effect of Ipamorelin in a rat model of POI.
Improving postoperative intestinal obstruction symptoms: In a rat model of postoperative intestinal obstruction, Ipamorelin demonstrated positive effects regardless of whether it was administered as a single dose or repeatedly. A single dose reduced the time to first defecation, while repeated administration significantly increased cumulative fecal output, food intake, and weight gain. Ipamorelin improves the recovery of intestinal function postoperatively and alleviates symptoms associated with intestinal obstruction.
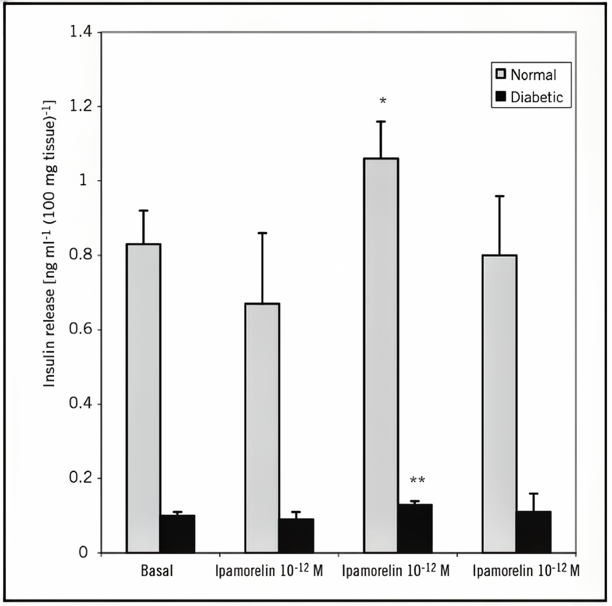
Stimulation of insulin secretion: Ipamorelin has a certain effect on pancreatic tissue, stimulating the release of insulin from pancreatic tissue fragments in both normal and diabetic rats. Studies have found that certain channel blockers and receptor antagonists, such as diltiazem, yohimbine, and propranolol, can inhibit Ipamorelin-induced insulin secretion, confirming that its mechanism of action is related to these channels and receptors.

Figure 2 Shows the effect of Ipamorelin on insulin secretion from pancreatic tissue fragments of normal and diabetic rats.
Antagonizing the catabolic effects of glucocorticoids: In an adult rat model, co-administration of glucocorticoids (such as methylprednisolone) and Ipamorelin significantly increased the maximum tetanic tension of the calf muscle compared to glucocorticoid administration alone, and quadrupled the rate of periosteal bone formation. This suggests that Ipamorelin can counteract the catabolic effects of glucocorticoids on skeletal muscle and bone, thereby maintaining muscle strength and bone mass.
Ipamorelin applications
Treatment of digestive system diseases: Ipamorelin has certain therapeutic effects in the treatment of digestive system diseases. For symptoms such as indigestion and bloating caused by insufficient gastric motility, as well as postoperative intestinal obstruction complications following abdominal surgery, Ipamorelin may emerge as a new therapeutic option.
Diabetes research and treatment: Ipamorelin can stimulate insulin secretion and has a role in diabetes research. It can serve as a tool for studying insulin secretion mechanisms, helping researchers better understand the regulatory processes of insulin secretion. For certain types of diabetes patients, particularly those with insufficient insulin secretion and poor response to existing treatments, Ipamorelin may offer a new therapeutic option.
Sports Medicine and Rehabilitation: In the fields of sports medicine and rehabilitation, Ipamorelin's ability to counteract the catabolic effects of glucocorticoids and its positive impact on muscle and bone health make it a promising candidate for potential applications. For patients who have experienced muscle atrophy and osteoporosis due to long-term use of glucocorticoids for disease treatment, concurrent use of Ipamorelin may help mitigate these side effects and promote the recovery of muscle and skeletal function. For athletes experiencing muscle fatigue and injury after high-intensity training, Ipamorelin may also accelerate recovery by promoting muscle repair and growth.
3. Analysis of the synergistic effects of CJC-1295 and Ipamorelin
Synergistic promotion of growth hormone secretion
CJC-1295 stimulates growth hormone secretion by binding to GHRHR and mimicking the function of GHRH, while Ipamorelin promotes the release of growth hormone from the anterior pituitary gland by activating ghrelin receptors. Both act on different receptors but ultimately increase growth hormone secretion. When CJC-1295 and Ipamorelin are used together, they may synergistically stimulate growth hormone secretion through different signaling pathways. The growth hormone release induced by CJC-1295 may enhance the sensitivity of the anterior pituitary cells to Ipamorelin. This synergistic effect may result in significantly higher levels of growth hormone secretion compared to using either substance alone, thereby more effectively regulating physiological processes related to growth hormone, such as fat metabolism, muscle growth, and skin repair.
Synergistic effects on metabolic regulation
In terms of fat metabolism, CJC-1295 promotes lipolysis, while Ipamorelin may influence energy intake and absorption by regulating gastrointestinal function. The synergistic effects of both may further enhance fat metabolism outcomes. Ipamorelin accelerates gastric emptying, allowing food to enter the small intestine more quickly for absorption, which may affect the body's energy intake and distribution. The energy produced by CJC-1295-induced fat breakdown can be better utilized, leading to more effective weight loss and body fat reduction.
In terms of glucose metabolism, CJC-1295's stimulation of growth hormone may indirectly influence insulin sensitivity, while Ipamorelin can directly stimulate insulin secretion. The synergistic effect of both may provide a more comprehensive regulatory effect on glucose metabolism. In diabetic animal models, the combined use of CJC-1295 and Ipamorelin can lower blood glucose levels by stimulating insulin secretion through Ipamorelin, and also improve insulin sensitivity through CJC-1295, further optimizing blood glucose regulation to maintain it at a more stable level.
Figure 3 Shows the effect of cholinergic, adrenergic, and calcium channel antagonists on ipamorelin (IPA)-evoked insulin release from the pancreas of normal and diabetic rats.
Synergistic effects on muscle and bone
In terms of muscle, CJC-1295 promotes satellite cell proliferation, differentiation, and protein synthesis, while Ipamorelin counteracts the catabolic effects of glucocorticoids and may promote muscle repair. When used in combination, they may exert synergistic effects in muscle growth and repair. During muscle injury repair, CJC-1295 accelerates satellite cell activation and proliferation, providing more cellular sources for muscle repair, while Ipamorelin enhances blood circulation and nutrient supply and counteracts potential catabolic factors, creating a more favorable environment for muscle repair, thereby more effectively promoting muscle injury repair and muscle mass increase.
Synergistic effects in tissue repair and regeneration
During the wound healing process, CJC-1295 promotes growth hormone release, accelerates cell proliferation, and stimulates angiogenesis, while Ipamorelin may facilitate tissue repair by regulating the local microenvironment and enhancing nutrient supply. During wound healing, CJC-1295 can stimulate fibroblasts to synthesize collagen more rapidly, while Ipamorelin can regulate blood circulation around the wound, providing more nutrients and oxygen for wound healing. The synergistic effects of both may accelerate the wound healing process and improve healing quality.
In terms of neural tissue repair, growth hormone plays a role in the growth, survival, and differentiation of neural cells, while Ipamorelin may influence neural repair by regulating neurotransmitters and improving the local microenvironment.
Potential application areas for synergistic effects
Sports medicine and fitness
For athletes and fitness enthusiasts, the synergistic effects of CJC-1295 and Ipamorelin may lead to more significant improvements in athletic performance and body composition. Their synergistic promotion of muscle growth and fat metabolism can help athletes increase muscle strength and mass while more effectively reducing body fat, thereby enhancing athletic endurance and explosive power. In terms of sports injury recovery, their synergistic effects can accelerate the repair of muscles, bones, and soft tissues, shortening athletes' recovery time and enabling them to return to training and competition more quickly.
Beauty and Anti-Aging Field
In the beauty and anti-aging field, the synergistic effects of CJC-1295 and Ipamorelin may offer new options for skin rejuvenation and overall bodily function improvement. Both promote collagen synthesis and skin cell metabolism synergistically, significantly improving skin elasticity, firmness, and radiance compared to using either alone, while reducing the formation of wrinkles and age spots. Their synergistic effects on body metabolism and tissue repair also help maintain overall health, slowing the aging process from within and enhancing both appearance and physiological function.
Medical Treatment Field
Digestive System Diseases: For certain digestive system diseases, such as chronic gastrointestinal motility deficiency and postoperative intestinal obstruction, the synergistic effects of CJC-1295 and Ipamorelin may offer new treatment strategies. They synergistically regulate gastrointestinal function, accelerate gastric emptying, and improve intestinal motility, potentially more effectively alleviating related symptoms and promoting patient recovery. For patients with malnutrition and weight loss caused by digestive system diseases, the synergistic metabolic regulation of these two agents can help patients better restore their nutritional status and weight.
Endocrine and Metabolic Diseases: In the treatment of endocrine and metabolic diseases such as diabetes and obesity, the synergistic effects of CJC-1295 and Ipamorelin may hold potential value. Their synergistic regulatory effects on glucose metabolism and lipid metabolism provide new targets and approaches for the treatment of these diseases. By combining their use, blood glucose levels can be more effectively controlled, insulin resistance improved, and body fat reduced, thereby providing comprehensive treatment for endocrine and metabolic diseases.
Musculoskeletal disorders: For conditions such as muscle atrophy and osteoporosis, the synergistic effect of CJC-1295 and Ipamorelin may help promote muscle growth and bone formation, thereby improving patients' muscle strength and bone quality. In patients with muscle atrophy caused by prolonged bed rest or illness, the combined use of these two substances may accelerate muscle recovery and growth, thereby improving patients' quality of life. In patients with osteoporosis, their synergistic effects may enhance bone density and prevent complications such as fractures.
Conclusion
CJC-1295 and Ipamorelin synergistically promote growth hormone secretion through different pathways, demonstrating complementary synergistic effects in areas such as metabolic regulation (accelerating lipolysis, optimizing glucose metabolism), tissue repair (accelerating healing, muscle regeneration), and musculoskeletal maintenance (anti-catabolic effects, promoting protein synthesis).
Sources
[1] Van Hout M C, Hearne E. Netnography of Female Use of the Synthetic Growth Hormone CJC-1295: Pulses and Potions[J]. Substance Use & Misuse, 2016,51(1):73-84.DOI:10.3109/10826084.2015.1082595.
[2] Papak M. Ipamorelin - struktura i funkcija, 2016[C]. https://api.semanticscholar.org/CorpusID:78470780.
[3] Greenwood-Van M B, Tyler K, Mohammadi E, et al. Efficacy of ipamorelin, a ghrelin mimetic, on gastric dysmotility in a rodent model of postoperative ileus[J]. J Exp Pharmacol, 2012,4:149-155.DOI:10.2147/JEP.S35396.
[4] Adeghate E, Ponery A S, Emirates U A. O R I G I N A L A R T I C L E Mechanism of ipamorelin-evoked insulin release from the pancreas of normal and diabetic rats, 2004[C].
[5] Adeghate E A, Ponery A S. Mechanism of ipamorelin-evoked insulin release from the pancreas of normal and diabetic rats.[J]. Neuro Endocrinology Letters, 2004,25 6:403-406. https://api.semanticscholar.org/CorpusID:7118136.
[6] Andersen N B, Malmlöf K, Johansen P B, et al. The growth hormone secretagogue ipamorelin counteracts glucocorticoid-induced decrease in bone formation of adult rats[J]. Growth Hormone & Igf Research, 2001,11(5):266-272.DOI:10.1054/ghir.2001.0239.
Product available for research use only: